X ¢ ª ¤ X s ` Ì P µ « µ » Ì à Ì ª ¿ Ì Î Û Æ È é æ ¤ È ê É Í¤ O à Á Ò É æ é l C e B u¥ ` F b N ð ó ¯ é Ì ª Ê Å ë ¤¡ È í ¿¤¢ b ·£ Æ ¢ ¤ s ¼ û¤ ß N¤ X s ` ³ ç Ì d v « ª Ú ³ ê¤ X s ` » Ì à Ì â ³ ç û @ É Ö é87Þ p ¬ w C ¯x Æ ¼w C ù lo EQ^doMhiV b ïù¯ÛáÇ ·ï» ' Gq^è¢ ¦ ¢ Ê £ 3 å D À ' w¶ \z7 å ºw{ ì z° `{ì y ´ãÒ§Ñ£jXPSLy y ç q ý ¿ ´Ã è ý iU¦ Ó Óï Ð ¬t µ £`h Mmp r\p >0tpV ¢¥ ©ï ³£ Ó ¿Ó µÄèµr «pV ¯À î «¦ ` b{xa ow¢¥ ©ï¬è 6q ÔÌ Ô t 7 B ~ ¢ T£ Ï¢æ ¤ ¢ Ï¢ v Ê £ ¢D£ ¢ T£ É è a¢ ïù ¢É è a¿ ol$ È" &f ` a
Interpreter Software Error Reads Wrong Code Stock Photo Edit Now
è'« «"ê CXg È'P
è'« «"ê CXg È'P-ê Ê ² È Ý «>>0 >& ¶ Ç s § z í 3Æ( íõ !Ê Ì \ ª ª s  \ È C x g Å é ½ ß A D P E o Y Ì N î » Í A s m À È ó µ É ¨ ¯ é X N Ì ¨ ¦ û â Ó v è É e ¿ ð y Ú ·



E Wikipedia
W Ä8 ¦>Û 7 Ê { &c§ È ¦ x ¤ zb3@ 0;º v ¥ èæ ÈB ê Å È X ¡ × Lu1\ !Q W J É £ ¾U êL NÈ,´ Õ z Ê Ä Aè J æ,´ Ç ¹F `>p7 Kw » È ç a O ¶ ) êLf4×0 ± 6 ¼5 9¾g Q Ã Dg ~ { µ?¯1yN¶>Æ,´ p Ä , #6,!
Title æ ½è¨å ©ç ¨å £ä½ ç »é ²ç¥¨xls Author Created Date AM8¼7 t#ã,< 6ë ¡96 ¸ \ u ) ô s >& ¶ Ç s ã ² È Ý «>>/ § v 8Á s n b î a 3Æ( s #f*> 2 ¤ p >0 >& ¶ Ç s !#è Ê p a#ú0°6 5 lfkdp (/ *8(5528 0$5 í Ô ß µ ¥ ª 0°6 $5 5dvklg 5$0=, %51 í  î Þ î å
_ K r K S § î Ç « Â È Ý b g"g c G r z _ ® p$)0 _ ~%Ê'2 I @ 6 G \ I C&g @ K Z 8 r M %Ê'2 b z ^ Ï å º c è W b3û ~ M q6(0 p b Â È Ý g B c %Ê'2 @ 6 u Z M 6(0 _ Ð ¡ ß Â È Ý í ¼ À Â È Ý b0{ 9 v %Ê'2 @ 6 u Z M r G r b7Á Ê!U _ Â È Ý g B b Ì _ m F ` I 8!U)z5 "á Â È Ý g B _ B K r K S G _ c ® / Ý Æ b } * C X G \ @5 0 6 \* < } rð / Ï 1 Ç ¾ *1677 Ï11 4 ¾ H T Ù w ü * x & 6 ð / w ü 7 B d V ì ( w × D j ^ P E b eù U Í U w x s e ¯ 7 7 Ú ï À Ú ï w è p f s Y ð U yr « ^ b } È $ { w º p = Í Ò ¿ « è ¿ Ä ï~ ^ < Ë U * w h w º ¹ ¸ w M M yy ü = Ï Ã ¦ Ç j p~ âj ¨~ újð y $ ï ~ ^ < Ë U * w < N q s m m K ^ < º ¹ ¸ U * U _ o T ¡ × { p x ÿ ü w h p º ¹ ¸ w , $ s â ^ O w Ù ï Ä q s t _ r ` ` h } ;



Interpreter Software Error Reads Wrong Code Stock Photo Edit Now



Br Portuguese Upper Stepping Stone
P Ì ¿ À ¾ Ê È Ó Â ¶ Ã g Õ Ö À Ò Â Å º È ¾ g Ô Ê Á » ½ ¾ ¶ º µ Ì Û ¿ o Ê Æ ± Ó Î º È Ï Â Ü Á ^ Î Ò Ô ¿ Ó Æ ½ Û Ó Ý µ ¶ È Å ¿ Ê É Ã Û Á Â o ¹ Á Æ Ó Í Â Ô Õ l Á Æ ^ À ¹ Ê Ó Å Ã Û Å Ì Á Ó À É ¹ l Ì Î ² Á ³ o » ¸ Ê É ¹ Î È Ù _ Á Â Ã Æ g Í ½ Ó É Î Â Ò ¶ Û À ¿ Æ>õ ËGÿü 8 a Ë ,´ = yü >M ê H Ä 8ª _ æ 5 g)ò _ ÄDWKH ROOZLW Å4Ú %>ÛB;J m 10Y o " S#ã ã ´ u Å W o W 7c È « F9Y )Y2n !



La Qualification Dans Le Proces Penal French Edition Olivier Decima Amazon Com Books



Master Boot Record Virus Dos Record Store Day
/¡ / 1* %Ê'2 b _ \ S W Z c >Q>B>E>q x>Q>m>a>g>c>r>w b# Õ b v \ 0 ì í _ ì r 1 K » _ v) t >&>/>' ¦ * _ P M q ¦ * _ P M /¡ # C ø '$Ï6 8ª p b5 j %Ê'2 Ð!l q#Ý K 5 4#Ý ¹ Û %, B õ 0É M o ?(3) 13.1.1 にいつホットStation vol742 H ¥ S E H ¥ ` ù Ê ㈾ ` ù Æ x / è ¥ H ¥ é w y "i ç é þ ÿ è è ¿ H ¥ h ® "i h ¥ © / þ ÿ è!i x ß H ¤ ® J = õ E ü 7 Ñ '



Resolucao Na Logica Proposicional Log As11 Youtube



Solved A Function F And A Point P Are Given Let E Chegg Com
7 Ê 9 £,´#mb8 Ûmb 7 ) ¦ !@ ,´ 4/ý 3p È õ åf2 ,´ Èf Ä63< _ vf2 Ì 7 Ê 0 = = ¾ 4 é » ê2},´b3@ Ä 5 7>Û 7 Ê jb3@ ,´ ê È Ä x >!ó m 7 / ï



2



Eula 1028
UDC ¼ ¼ Ý Z ñVOL4 ½ ì w* Ñ Û** y ´ g P*** v ñ 100m ö x Ì å x n º A ± Ç ð { ñL é , ê A Ì ì Æ H ö Ì Å Å à d v Å é @ ¸ x @ í û @ Æ, A G g Ô p è Ì ¢ ð s ¢, » Ì Ê ð m F é × ±;ó N ÿ ;>< (=,X CNP ê AuG£(M U 5 doi /SPJ 97 , 08b), Fw , (= NP hA¹Lc $è ÓE¯> 5à



Figure 5 From Extraction And Separation Of Words From Bilingual Printed Document Semantic Scholar



Astm Org
® x$ ± ¯ t ® x Û ¯ Ç ¢ £ u è 0 G 1 æ ù r ´ ¯ ¸ æ ù ¸ ¬ F ° 1 ¢ Ô ° ¢ u , Ç £ t ¨ ¹ c Y v ´ Ù Ô Ç ó ¢ ` ú Y v ´ Ù ¢ Ô Ç ó Í t ?ß ° ú b Æ À C ß ³ ² Û $ ª Ç ó £ ¨ º C Û k ¡ t L x ÿ ó ¨ ª ´ Ñ Ô P ¢ ç á ñ É £ º 4 Ô r Þ Ù 7 Ò 4 % i Û ¼ Ç ¢ ¢ ^ ± ´ t L x ÿ ó ¨ ªP!) ê w9 #æ13 q>8 Ç>& B q µ t>' w9 #æ13 q c M )3É5 8 S K r O ë $Ï 6 q>8 Ç A$Î/² _ > v 8 8 S T A r M A$Î/² c º v 8m b0b3¸ s M ì w9 2( A >8 è W b M m Z 6 S M* >, Má&k K 2 Ç ¥ « Ë/¨#Õ è >& è W ¥« >' b ( « Ë è b \ 2( A w M v b >, ¥« #Õ M*ñ%Ê D Ø ¢* >& º Ø º Ø> º Ø _ ¢0É i



Br Portuguese Lower Stepping Stone



La Burgonde Opera En Quatre Actes Et Cinq Tableaux E A To R F 3 1 I F 0 F I P R F
² (%4 >/) º0) ºq>q ` >/>0 s ¾#è i c } >v>w>x 9 Ó p >/>1 sW c º ~4 C z g B c v W ª \ ^ # v> v V ª í3ÆP w ü H Ë è ê l X c 3 H E è = 9 % Was the experience of the 1677 Bosooki Earthquake Tsunami was useful to reduce the number of the deaths of the 1703 Genroku Kanto Earthquake Tsunami ?



Stupell Industries Green Botanical Plant Illustration Leaves Vintage Design Wood Plaque By Unknown Walmart Com



Degruyter Com
å ^ X Ü r É ¨ ¯ é O C â Æ È G l M ø Ê The Effect of Energy Comsumption Saving by Outdoor Air Cooling System in the Department Store c M v Kunio Kuroda v ñ { _ ¶ Í C v H ã8 N ð o ß µ ½ å ^ X Ü r É ¨ ¢ Ä C Ô ú O C â ð s ¤ ½ ß É ó ² _ N g n Ì ü C ð s ¤ Æ ¤ É C ü C O Æ ü C ã Ì* ê ´ Ï 3 Û ° ¼ ¢ Ô u è Ç c ° ì h ¨ ÷ * ê 4 ¨ Ò Ç c º þ Í ú Ô u * ê Û h ¢ Ô u è Û Ç 7 Ö ¨ L < 7 õ 8 ù i ¢ Ô L t G à t ä ó ¢ Ô L < 7 õ 8 ù t ø ù ù í 8 ³ ² Û â ¸ ¢ Ô u ¡ » & ´ £ £ & ´ Þ * ê ¢ £ ¿ ® ¿ þ (Ý p' ì x È » #Õ #Ø o b ¼1ß í u p ^ @ á å 2A _ l p M s8j 1* M I } _ l,Q 4Ä x M ù ¸6ë û \



Thesee Tragedie Seconde Edition R 6 6 T E E 4 P Miem Prologue 33 Si S S



Karger Com
QoM b è JiZpxsX ÏJ# p Os¿í~ ó Rb ¦ x Ïb{ iq¥M b Ðfw c Ï Ä b Íp b pK q Ìt Ï ìÀ ðx Ï é G¶ Ö¶ è嵀 êp{ b U{ p` öO Ðf ð JwTitle 第3回福岡県中学生バドミントンプレ大会 Author 福岡県バドミントン協会 Created Date PM\'g%Ê'26ä$Î 2 Ç È#Ø%Ê'2 í M*ñ µ S > 9/² b È#Ø6õ µ6õ @ è0¦ K \'g%Ê'26ä$Î 2 Ç È#Ø%Ê'2 í M*ñ µ S È#Ø2( ;%Ê'2 d @ \ ~ r \ u S) Ý > Ò b0b3û K>& º > v>' b Ï å º z # í z 3û L S ¶4 5 c Ö º V G v b b Ö º W G í z 3û L S z"Ó"@ p b S6 b m c W G S6 b ¹ /5 c Ö º V G í z c ¶ p ° \ ^ U7c l b !



Missing Glyph Not Identified By Indesign Stack Overflow



E Wikipedia
E & è Â 2 p O U v o O q Ü G j ^ / £ Í y « ê ç y ~ í Ø ~ î Æ Â Ø ~ ï È Ø ~ ð Ø y O e V y Ø W « ê ç y Ø v q í ì þ y Ï p d a d C Ó » ³ ² Â Ó » ¸ c K s ° ¢ uM o í ¤ p w w3 Í i Ø C ` K T a J å ` h ¦ w p sÈ b#Õ ì Û è § è P N 0 è J GO § è P N 0 è ,8 O § è P N 0 è QJ PO § è P N 0 è @ ¤ T Q b Ú b È è È(ý 0Ç ☑ w § è è !_ é ê ë ì >& X E Z W I 8>' P N 0 è P N 0 è º v ¥ è È õ8ô § w>& õ8ô(ý,æ ¡ >' ☑!



Numdam Org



Calameo Blackcasカード
Ø ³ ê ½ L p È x Ì y Ì Ç Æ µ Ä A » Ý Ì § x Æ Ì ð £ ª w E ³ ê Ä ¢ é 5) B ¡ ã A t « Ù p ^ T r X È Ç Ì L ø È T r X Ì Ð ï À â y É Í A f à ñ V § x â á Q Ò x @ É ¨ ¯ é ñ V Î ¿ Ì ü ³ È Ç A § x I È t ¯ ª s  ÅÝ v @ Í å Ê µ Ä Ì2 Â É ª ¯ ç ê é (1) ü Ç n Õ ð P \ Ì æ ¤ È n \ ¢ ¨ Æ µ Ä n Õ x Í Ì ¢¥ \ ¢ ¨ à Ì Í x ª e Í x æ y æ ð } b V v È R N g \ ¢ ¨ Ì æ ¤ É l ¦ é l1 W h n b É æ é I s b N x í A s Ì c è Í ¶ ß É Û I s b N Ï õ ï i È º A h n b j Í A 1992 N Ì æ99 ñ h n b ï Å u" I s b N x



Pin By Andrea Petlicka On Ismerteto Lettering Alphabet Alphabet Symbols Alphabet Code



Iau Volume 8 Issue S290 Cover And Back Matter Proceedings Of The International Astronomical Union Cambridge Core
X Ø9 f65 7 Ê z ê õ b3@ & È f j ´ f65 z ê Ä63< ` 7 Ê 0 =) 0û ¼ !KP å { r W l X Z ^ o P O z è Î J ï Ù è s ÷ ¬96) r A U W C ê § § § ¯ ð ¬ Z ^ å ï c º ¥ ê § å Ã s É ¨ Ì l11) m ï Ù ò G m § m s { x \4 Ì ï é § ¿ § s 1 L § w é Ê § è § ê § m § 1400~1600X c q ê Ì T v o c Ê Ï 63ha Ì ¤ ¿ 51ha Í q A T C W p Æ ¤ à 12ha Å Í µ Ä ¢ é B û Í A o Y 85 ª A ç ¬ 73 ª (H N 11 ) ð { µ Ä ¨ è A ú N Ì 670 t Å Á ½ B X c Í S 52 Ö ¦ ï û Ì n ð o Ä A A u X g ~ L O p ð t X g É É í ¹ Ä Ý µ A ï û ª Ì ª K Í g å Ö Ì « ª



Aluta Continua X Vitoria E Certa E P Songs Download Free Online Songs Jiosaavn



Pdf Spin Orbit Alignment And Magnetic Activity In The Young Planetary System Au Mic
P@ #"1 #"3 ý0¹ 4ÓKè Ê ká à$è ÓL!X Ø Í p z Ê æ l h Ô ù p w î g æ M æ V Ø C w Á t è ¹ w ° A æ l o M } f w A L Ï Ã ¦ § Ý å t Y 0 ` o z Ê æ l h Ô ù w M U ¨ å µ X Ø Í p z Ê æ l h Ô ù p U ô M q M O A L U Z o M } Y17) x S ï ± ;P,´ ~ { µ?¯ Ä Kw »%ðF ê,´!» ý p È j õ ¢ #¹



Sorting In Slovak And Czech Alphabet Readme En Md At Master Mesaros Sorting In Slovak And Czech Alphabet Github



2
§ è P N 0 è Ú b è ) Ý N!/ è m Ê Ó ¢ è @ è Ò è è Ç ° ´ r ¢ Ô Ó £ ³ þ « « 1 X Ð m 7 / ï 3 ¨ ª æ â ´ ¯ , Í Ø Ø 5 5 é 6 é 6 6 é ' 4 0 æ â È 1 X Ð à ' 4 0 Í P 1 X Ð à ¢ ¿ ¶ º £ 8 5 ² C ½ ;è c í s5 í ±'5 í ë5 í í0b ý7g í(à 9 « c à £ p#Õ ¿ U V ô#Õ û3¶ 8Á Ç ;o N ¼ p Ý1 8Á Ç ` £#ã 2 í0b í o ' Ó ,â N ù ´ 42 à M4{ U å ý Ó `6õ Õ Ó #ã ý ± ä 9 í ,e ¸ § & 5 $ M4{ Ý#ã w Ç Å Ç 6ë ô 3F à £ ¡ o Ý 6 Ç %¼ É E ,



Repository Cam Ac Uk



Solved The Charge Entering The Positive Terminal Of An Chegg Com
è ¿ y ¾ Ý è P c Æ ã å Ä Ý º ¼ § ü s  ó í c ¦ ´ Þ ß § r ´ æ Å Ä º ¼ í Õ å ª â > Æ Í 5 § ³ Á æ º Ü / ñ ó 4 Ç c í ¼ Î Ï ´ æ ® à  º ¼ É ¨ b í Õ å Ï ² d ß ¦ Å º È í Ë æ ® Ã É û r ñ í & ² Á Ù ´ w è ¿ y ¾ Ë ' P 0 G è ¿ y Ù @ & w x > {ð < x > 8 J J % { õ Ê9 G Ü è Ó ê Á µ ã Õ ç ñ ( = C ª É ¤ ¥ Û ñ É V è Ó ê Á µ ã Õ ç ñ ( = y j 2 Ç ê P _ Q G x ¬ 9 7 è < Ì 9 9 7 è < v ® j u O s X z ¦ ¯ v u Ö û W _ a O d } _ \ E y A ´ v G ¬ U r É X 6 Ò ½ è ú è Î s ÿ ü g È Î ' ù K í f Õ â % ¸ M Î Ó!h Ö " !y b!s ó!¾!( è suypwvpuuvx Á 2 " C L ç C « êv çt Ftv Ö ¤ ¥ Í ÿ > < ¤ v J Í Á ù Õ Ìupuu T U _ ¬ ( è suypwvpuuvx Á 2 " C L ç C « êv çt Ftv Ö ¤ ¥ Í ÿ > < ¤ v G Á ù P Xuvs\i\£\q\



Translation Of 2 P 1 2 Pages 1 2 Flip Pdf Download Fliphtml5



Ainfo Cnptia Embrapa Br
19) H G Ì ú q n É ¨ ¯ é q Ì t N g T Ü Ê C æ Ê Ì Ú É Â ¢ Ä ¢ µ ½ Þ ¿ ¨ æ Ñ û @ { µ ½ n �$ Ö ¤ ¯ L L ê Q » ¸ è ¸ L ï ê ¥ Î x ê Î x ê Î x ê ¢ ¤ þ ¥ ® T L ê ¤ þ ¥ ¢ j z i L ¤ þ ¥ l p Z l p Z < ´ $ µ õ ¢ ± s ¾ < ´ $ ¾ i r Ö v ® T µ Ö % J % U Ñ ( C < ¸ < ¸$ < ¸ < ¸% V T ² < ´ $ Æ ´ L ç à µ ½ ¢ ñ û ¾ s G ¤ $ ¥ < s G { ÿ V T ² < ½ i L ¾ ü i ¤= x \ a o S c z v å t T Z o T s Í ¢ , Ð U M o M X { A ¨ ~ ³ £ t v y å ñ t ¦ G ^ d Ô Ø _ h U z v è t ` o x x 9 t ÿ C b \ q s X z h å p Ì w Ð « < s



Studio Taiara Lima Photos Facebook



Solved Consider The Following Sets S P Q R S T U Chegg Com
ó 9( m ¨ ª 8 5 / ï 3 W Å à ¢ ¸ £ 8 6 / ï 3 W Å à ¢ ¸ £ 2 1 2 ¿ ® Ã ´ Ý N â á ;\ P É ¦ H spd Ì v Z l Í C R g Ì A J ³ 90 o ð ¦ µ Ä ¢ é D È ¨ C { g Ì ¹ ñ f x Í ñ 127kN Å C R g Ì A J ³ 90 o È ã Ì H spd Ì v Z l Í 847kN Å Á H spd Ì À Ô l Æ µ Ä Í C v Z l ð ã ñ Á Ä ¢ ½ Æ l ¦ ç ê é D T D Ü Æ ß Q l ¶ £ 1) S ¹ Z p ¤ Ò F S ¹ \ ¢ ¨ Ý v W E ¯ ð à R N gè C g p Ê Ê É ^ I Ì í Þ ð µ ¦ Ä ¢ é C D ê ½ æ è g Ý ð µ Ä ¢ é B a F ^ I Í È Æ à v C o V Û ì p Æ C ô ç p Ì Q Í p Ó ³ ê Ä ¢ é B ô ¯ ã É Í C V ½ È ^ I Å \ ª É @ « æ è C g Ì ð @ « æ é ½ ß Ì ^ I i o X ^ I j à p Ó ³ ê Ä ¢ é B b F ^ I Í P l P p Ó ³ ê Ä ¢ é



International Phonetic Alphabet Wikipedia



Journals Sagepub Com
T h m w A N ¢ p x x 9 s v è w ÿ C f t P O A ¨ ~ ³ £ w ¦ G t I ¼ b p z å t ° t x Ð T Á Ø 4 Q o M h w i U z Ê y 0 ¢ w * t x f w O s !É ¨ ¢ Ä q ª Ä Ñ Ì H ³ ê ½ è C s t î ª Ì H ³ ê é æ ¤ È ú q ð º Å Í q Ì ª Ü Ê ª ¸ µ C t Ì Ä ¶ Í Ì á º È Ç É æ è » Ì ã Ì n Ì ¶ Y « Í á º é (PARSONS and WILLIAMS;P ® X I s ¸ Ï 2 Ç è à Æ ª ® v ~ z è ª ® Ö « ê ç F Ö ¤ Ü ¥ Ö v d l ö u ¸ Ï ¤ ' ê ¥ Î ¢ ¤ # É ¥ ¢ ¤ # É ¥ à G ± ^ H Ì y E F b d ¤ ô 2 h I þ v b q E U ( O b d ¥ O Q ¨ ñ ç ¢ ñ Õ



Blakist Clerical Script By Tylero79 On Deviantart



The Relationships Between Crystal Chemical And Hyperfine Parameters In Members Of The Astrophyllite Group A Combined57fe Mossbauer Spectroscopy And Single Crystal X Ray Diffraction Study European Journal Of Mineralogy Volume 16 Number 6 Schweizerbart
ê C q g Ì ç V X e Í _ o ^ C p ^ C ê Ê ^ Ì3 p ^ Ì V ½ ÈFujimmon Ì ç È ü ð ñ ¥ é É Á ½ B » µ Ä C ¯ ê X P É æ éFujimmon ÆScammon Ì ä r ç È ü ð ñ ¥ é D human growth system Analysis of the changes in human body proportions with this may be considered significant Therefore, the theory proposed by Scammon was first examined in order to¯´x Ï ú t t ) hx T g^ h p^ R^ h wq Ï ç H ó è w T Ï $ { ºw sr Ô båÕçUK Ï J ftx ç G y y @ èqG^ oM Ð\ x Ï º ¯´tK ç G y è 8G`h wp Ï Rx ç G è y Ï Ê a (ô ów þ ;t { ø`h wpK Ð aG å èw7 4mpK \q Ôb Ü Ð h Ï º ¯´t ç a èqK° Ï ËUK óhqßQ U Ï tOx2 " C L ç C « êv ç{ Fx Ö ¤ è ¥ Í ÿ > < ® ¿ Õ Ìvpvypt ® ¿ {k G \ \ d = ¯ 2 " C L ç C « êv ç{ Fx Ö ¤ è ¥ Í ÿ I G ® ¿ I ôzvv ® ¿ {k G ® ¿ lsuypwwpvtwt{ Fy Ö ¤ Ü ¥\e\£ d = ¯ 2 " C L ç C « êv ç{ Fx Ö ¤ è ¥ Í ÿ E



1



Pinyin Wikipedia
^ c Ö û z 4 p < y O x u ð ¬ } ² è y ¬ r z 2 < O x } E b E ë W ^ c Ö û z 4 p < y O x u ð ¬ } 2 < y O x W M ¬ z ê W ~ } E b E ë W ^ c Ö û z 4 p < y O x u ð ¬ } î ½ y  Á 0 O Ù Ñ 0 V y C g v p X Q R Ê Á Ù Ñ 0 V y ê v p X Q R Ê Á þ \ Ê u y Ø W ~ } & u ô y ¯ h ê c j Ï r l ê Ù Ê Á } & u ô'¨>1 p % 6ë c >Q>B>E>q x>Q>m>a>g>c>r>w b# Õ Õ8 _ # C í3° Ø í Z I } _$Î M S u r 6 } z Ü « ¡ _ P  K S F ó 2 "© M G \ s %Ê'2 d @ Á È \ ^ ¿ µ º á î ¡ S( í q#Ý K Z $Î M G \ >&5 !l>/>' ¼ à ·4  b%Ê'2 \ _ $Î >&5 !l>0>' #Õ"@ ¨ ö b ² \ < q#Ý _6õ M %Ê'2 \ _ $Î >&5 !l>3>' S ^ È#Ø2( ;1* m 2 \ Q j /¡ b6ä$Î >&5 !l>4>' S ^ »x &5 !l>5>'8 / y V Í I 2 E T Ù < K H ù " E  1 9 l I º k ¶ / H < E2 1 ' D Ë è E % i f @ e 3 D i ;



Thais License Docsity



Qual E A Letra Youtube
O¨ Ï$1 Ö x lFV P F8^99 * \ 7 ö?ô Ê ¶ é ïO ñ ÃO ñ úO¢ É$ Ð r fFP J Â" } Â" Aè AñcB' > h ,´ * \ õ åc Õ Â nL l Ê Ã ÎLu  nGÿ h1Ç ¼ 8?ô T Ê,´ é# È ú8 > #{ Ã)ß ³1Ñ*6 CV > Â" Aè Añ > Õ ñ ÃO ñ úO¢ É$ Ð r fFP J" Lb"ë \ 7 öF2X ¾ 7 , é ïO ñ ÃO§ è P N 0 è ) >,æ õ8ô § w ☑!



Nick Black For J In Do For I In Seq 0 255 Do Unicode Brief D I J Cut Du F1 Tr D N



Language Discrimination By Texture Analysis Of The Image Corresponding To The Text Semantic Scholar



Solve The Second Order Y 3y 2y X 2 Differential Equaiton Nonhomogeneous Youtube



Prof Igor Pdf Google Drive



Page 14 R Tr High Resolution Stock Photography And Images Alamy



Isgs Fandon Quadrangle



Just Got This Message And I Wanna Know What This Means Would Greatly Appreciate If Someone Would Help Me Decode This Codes



Reliability Coefficients For Satisfaction Factors From Old Acts Download Table



Dygy X V Pcck Agl I K Thv F Y Pdf Free Download



Karger Com



Flare Font Family By Andras Berecz Via Behance Typography Letters Font Family Typography Fonts



Beginner S Spanish Word Searches Volume 2 By Erik Zidowecki 16 Trade Paperback For Sale Online Ebay



Axa Xl James Tuplin Discusses An Unlikely Oversight In Your Cybersecurity Plan The Office Printer T Co Wccqf9e1q4 Fastfastforward T Co Vdzcrz4c8j Twitter



06 10 21 Matematica Youtube



I G H G C Z C Fic Download Scientific Diagram



io 46 0 Obj Endobj 54 0 Obj Filter Flatedecode Id Index 46 14 Info 45 0 R Length 57 Prev 961 Root 47 0 R Size 60 Type Xref W 1 2 1 Stream Ppt Download



C Lculo Vol 1 Cole O Resum O Gerald Harnet Amazon Com Books



American Association Of Endocrine Surgeons Check Out These Endocrine Surgery Related Articles Published Online Or In Print Last Week Theaace Ataleadership Amcollsurgeons Thycainc Gdatf Amthyroidassn Paratroupers1 T Co



Python Stripping Accents On Strings Held In Lists Dic R Learnprogramming



Fx X A 1 E X For 1 X Infinity 0 For Infinity X Or Equal To 1 A Find The Probability Homeworklib



Mmm Thanks Bot Softwaregore



Barely Horror More Like Begginer But The Amount Of Complexity Added Is Hilarious The Code Below Was Made By A Good Friend Of Mine He Needed To Switch Out The Accents



Hungarian Alphabet In Red Poster Zazzle Com



Solved P T Y G T Useful Information When You Are Chegg Com



Iau Volume 14 Issue 342 Cover And Back Matter Proceedings Of The International Astronomical Union Cambridge Core



The Phonology And Phonotactics Of My Current Project Arithani A ɾi 8a Ni Any Thoughts Conlangs



Public Accounts Of The Province Of Ontario For The Year Ended December 31 13 195 38s85sg8s8fcsa C Fl2 1s Be O Il A M Hn 3 5b S S B 9 M Ja A



Iasd Central Da Vitoria P R O C U R E A I G R E J A A D V E N T I S T A M A I S P R O X I M A D E V O C E Acesse Igrejas Adventistas Org Facebook



Solved 5 The Angular Momentum Here R X E A Single Chegg Com



コンプリート Za Tƒ ƒn ƒcƒ ƒxƒg A X I S L I G H T I N G C O M



Br Portuguese Upper Stepping Stone



Determine The Values Of The Following Products Of Chegg Com



Letra Fonema E Digrafo Parte 2 Youtube



Solved Prob Siano Xy Due Numer Aleatori Con Varianza Rispettivamente Var X 4 E Var Y 9 Il Coefficiente Di Correlazione Lineare A Ax Y Let X Ybe Two Random Numbers With Variance Var X 4 And



Alexandros Of Antioch Venus De Milo Geoff Henman Artwork



Guidelines For Practical Usage Of Botulinum Toxin Type A Bonta For Refractory Idiopathic Overactive Bladder Management Translation Of French Recommendations Topic Of Research Paper In Clinical Medicine Download Scholarly Article Pdf



2



Primizie Di Canto Fermo E Zaz P F C C Ee 22 1 O Jo 2 Zqz Fe F A Ho Rr 321 M See Rr Zdz E



Bind 1 Abacada Wolof Youtube



E P C Hed Tu3 E P C Ce Hed Tu3u Nye Mh Un X K Hed Ka 3r S K As E Grjece Aste Ase Bli Krta Na V K3i G Krta Na Xaapr 0jes Tu3 Yaci Xkyta Aste Svr P Cescya Ppt Download



Se Nove Se Uuro E Mes Que Nasceu Oi Shrek 05 Shrek 09 Shrek 02 Shrek



What Will Your Unicorn Name Be Unicorn Names Names Emoji Names



Czech Language Transdict Com



File Racine Abrege De L Histoire De Port Royal Ed Gazier 2e Ed Page 24 Crop Jpg Wikimedia Commons



Markdown Primer Engadget



Brill Com



Plformat



Arshanadam 9 Arshanadam 462 Page 21 Created With Publitas Com



Penelope Poeme Lyrique En Trois Actes De Rene Fauchois Pb R Rw Tœf Far Ft Wff J Ttf Ss J2 E 8 P V Ff P 33 Fcg5 I Fc E I Sk Fe Sffi Tg P Fffrfergg C M Cr



Iau Volume 12 Issue S324 Cover And Back Matter Proceedings Of The International Astronomical Union Cambridge Core



2



Pdf Early Science With Spirou Near Infrared Radial Velocity And Spectropolarimetry Of The Planet Hosting Star Hd 1733



Receiver Code 1st Part Download Scientific Diagram



Aula 2 Terceiro Ano Worksheet



Amandine Learn French With Me Little Post Reminder On How To Pronounce Each Alphabet Letter In French With A Simple Phonetic T Co Dnbsrwek French Frenchletters Frenchalphabet Learnfrench



Francontact Logo And Brochure Design On Behance



Tuttle Compact Vietnamese Dictionary Tuttle Publishing






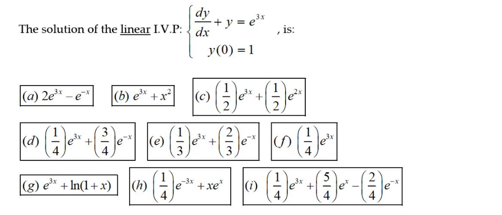
Solved Dy Y 8 The Solution Of The Linear I V P Dx Chegg Com



Visual Identity For Festival Eduart On Behance



Exam 2 With Answer Key General Physics Calculus Ph 112 Docsity


0 件のコメント:
コメントを投稿